Appendix A: Sound Experiment Data

 

Onset Correlation for Sound Localization Simulation, Wall Absorption = 0.9

Raw Correlation for Sound Localization Simulation, Wall Absorption = 0.9

 

Onset Correlation for Sound Localization Simulation, Wall Absorption = 0.8

Raw Correlation for Sound Localization Simulation, Wall Absorption = 0.8

 

Onset Correlation for Sound Localization Simulation, Wall Absorption = 0.7

 Raw Correlation for Sound Localization Simulation, Wall Absorption = 0.7

 

Onset Correlation for Sound Localization Simulation, Wall Absorption = 0.6

Raw Correlation Plots for Sound Localization Simulation, Wall Absorption = 0.6

 

Onset Correlation for Sound Localization Simulation, Wall Absorption = 0.5

Raw Correlation for Sound Localization Simulation, Wall Absorption = 0.5

 

Onset Correlation for Sound Localization Simulation, Wall Absorption = 0.4

Raw Correlation for Sound Localization Simulation, Wall Absorption = 0.4

 

Onset Correlation for Sound Localization Simulation, Wall Absorption = 0.3

Raw Correlation for Sound Localization Simulation, Wall Absorption = 0.3

 

Onset Correlation for Sound Localization Simulation, Wall Absorption = 0.2

Raw Correlation for Sound Localization Simulation, Wall Absorption = 0.2

 

Onset Correlation for Sound Localization Simulation, Wall Absorption = 0.1

Raw Correlation for Sound Localization Simulation, Wall Absorption = 0.1

 

Onset Correlation for Frequency-Domain Sound Localization Simulation

Raw Correlation for Frequency-Domain Sound Localization Simulation

 

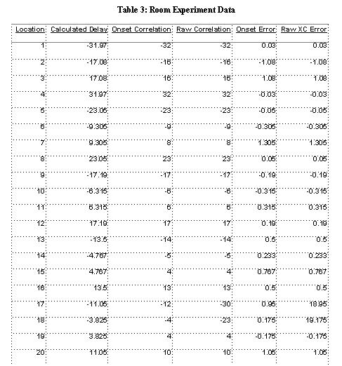
Onset Correlation for Sound Localization Experiment in a Conference Room

Raw Correlation for Sound Localization Experiment in a Conference Room

 

Table 3: Room Experiment Data