Rather than detecting what has been spoken, the work in this dissertation concerns the detection of where the sound originated from. The use of multiple, spatially distributed microphones allows the localization of sound sources by detecting differences between the signals received at each microphone. Before discussing computational techniques for localizing sound, it is appropriate to study how the highly effective spatial hearing systems in the animal kingdom work. Sound localization in humans and animals provides an existence proof of the capabilities of binaural systems, and research on the subject offers insight into which principles may be useful to incorporate in a machine implementation.
Spatial hearing experiments conducted on humans have been used by researchers working in areas spanning medicine, neurobiology, and psychology. Overviews of perception experiments and resulting theories of human sound localization are presented by Blauert [94] and Yost and Dye [95]. The fundamental principles behind sound localization behavior research involve the relationship between the physics of a sound arriving at the eardrum and the geometry of the head. The shape of the head, the spacing between the ears, and the structure of the pinna create a spectral transformation of incoming sounds that depends on the direction of origin.
The most basic principles used to localize the azimuth of a sound source in the horizontal plane involve the inter-aural intensity difference (IID) and the inter-aural time differences (ITD) between the signals received at each ear. The IID is caused mostly by the shading effect of the head, while the ITD is caused by the difference in distance the sound must travel to reach each ear. Researchers conducting sound localization experiments often generate tones of varying intensity and phase in each ear to test a subject's perception of equivalent sound localization. With no time delay between the ears, differences in intensity typically cause the sensation of the sound being located inside the head, but closer to one ear or the other. Time delay, when added, provides a stronger directional cue, and the sound is perceived to be external to the body at some angle. Tones at low frequencies (less than 2 kHz) have wavelengths longer than the distance between the ears, and are relatively easy to localize. Pure tones at higher frequencies, however, present ambiguity in the determination of correct time delay, which may be a greater than the signal period, and are much harder to localize. Fortunately, pure tones are fairly uncommon in nature, and high-frequency noises are usually complex and random enough to allow unambiguous interaural delay estimation.
Estimation of elevation and distinction between sounds originating in front of and behind the listener requires more sophisticated processing than IID and ITD. The shape of the pinna and head effect received sounds in a manner dependent on arrival angle and frequency. A model of this process is referred to in the literature as the Head Related Transfer Function (HRTF) and is frequently used in virtual reality and other headphone applications where generated sounds are artificially processed to provide realistic spatial sensations to the inner ears [96]. The theory behind this model is that the brain analyzes the received sound and determines, from the qualities of the signal and learned understanding of the body's HRTF, what direction the sound must have come from.
Echoes and reverberation caused by the environment pose difficulty for sound localization. Often the combined effects of multiple reflective sound paths can be as loud as or even louder than the sound traveling a direct path from the source. In humans, however, direct-path sounds that arrive before their corresponding echoes are weighted more heavily in the localization process, a phenomenon termed the "Precedence Effect," "Haas Effect," or "Law of the First Wavefront" [97].
As a nocturnal hunter, the barn owl has a highly developed sense of hearing and sound localization. It has been studied extensively by neurobiologists to determine the mechanisms by which sound is processed in its brain. Knudsen and Konishi [4] describe experiments where the accuracy of the owl's sound localization capabilities was tested under a variey of conditions. The owl in the experiment used both interaural spectrum and interaural onset time for localization in azimuth, with better accuracy resulting when onsets were available as compared to continuous sounds. Localization accuracy in elevation was found to depend heavily on ear shape and feather placement to filter the sound, as opposed to timing information. Carr [98] describes how the detection of interaural time differences is performed by the meeting of nerve signals from each ear at the nucleus laminarus. Nerve axons carrying signals that originated in each ear enter the nucleus laminarus from opposite sides. Since the distance that an action potential travels is a function of time, the position in the nucleus laminarus at which action potentials from opposing sides meet is a function of interaural sound delay. This interaural delay corresponds to localization in azimuth. Postsynaptic coincidence detecting neurons are thought to detect the meeting of action potentials in order to form a map of auditory space, and relay this information to other parts of the brain.
Knudsen, du Lac, and Esterly [3] and Knudsen and Brainard [2] describe how the processes of the nucleus laminarus and other structures create computational maps of space, and how these spatial representations converge with one another at the optic tectum. There, visual and acoustic maps combine to create an integrated perception of the world, and computation of motor signals for appropriate interception movement originates. Thus the function of sound localization in the brain appears not to merely choose the direction of the loudest sound, but to create a map of sound sensations in space which may be related to other sensing modalities. This idea affected the choice of sound localization and sensor fusion techniques used for this dissertation project, as will be described later.
Interaural intensity differences play a significant role in sound localization in animals due to filtering effects of the head and outer ears, especially for determining elevation. However, for two microphones mounted near one another in open air, these effects are minimal, and are ignored here. This dissertation project involves localization in azimuth only, based entirely on interaural time difference. Two assumptions are necessary for this to work properly: (1) The speaker is always assumed to be on the "front" side of the microphone pair, limiting the localization to a range of 180 degrees; and (2) the speaker's location is assumed to exist approximately within a plane parallel with the floor and level with the microphones. This approximation is forgiving enough to allow for differences in height and for both standing and sitting positions, but does not allow the speaker to hover over or duck below the array. Also implicit in this configuration is the assumption that two speakers will not be positioned one above the other when viewed from the microphone array's perspective. By adding more microphones, these restrictions may be removed for greater dimensionality (and reliability) in sound localization, but for this dissertation only the stereo case is explored since most computers have only two sound inputs.
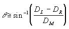
Figure 5: Sound Localization Geometry
Figure 5 shows the geometry used for calculating sound direction based on interaural delay. Calculation of the ITD between two microphones specifies a hyperbolic locus of points upon which the corresponding sound source may reside. For target distances (DL and DR) much greater than the microphone spacing DM, the target bearing angle may be approximated as

Rewriting the difference in target distance in terms of the interaural time delay, one obtains
(1)
where Vsound for a comfortable indoor environment is approximately 344 m/s.
Several types of ITD features may be extracted from a microphone pair. Three techniques of particular interest are outlined below.
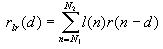
The windowed cross-correlation rlr(d) of digitally sampled sound signals l(n) and r(n) is defined as
(2)
where N1 and N2 define a window in time to which the correlation is applied. The value of d which maximizes rlr(d) is chosen as the interaural delay, in samples. Cross-correlation provides excellent time delay estimation for noisy sounds such as fricative consonants. For voiced consonants, vowel sounds, and other periodic waveforms, however, cross-correlation can present ambiguous peaks at intervals of the fundamental frequency. It also provides unpredictable results when multiple sound sources are present. Finally, sound reflections and reverberation often found in indoor environments may corrupt the delay estimation.
Analyses of the cross-correlation method of time delay estimation are provided by Weinstein and Weiss [99], Wuu and Pearson [100], Knapp and Carter [101], and Chan, Hattin, and Plant [102]. Sound localization systems implemented with correlation-based delay estimation are demonstrated by Bub, Hunke, and Waibel [51], Silverman and Kirtman [45], and Takahashi and Yamasaki [52]. These implementations use arrays of redundant microphones: fifteen in [51], eight in [45], and six in [52]. This allows accurate localization in multiple dimensions, and the redundancy of measurements compensates for localization ambiguity and noise sensitivity problems that can affect the cross-correlation method. For the case of just two microphones, Wasson [49] successfully adapts the phase correlation work of Knapp and Carter [101] for sound localization.
By taking the Fourier transform of each microphone signal, the relative phase at each frequency may be compared between the signals. Dividing this phase delay by its corresponding frequency gives the time delay. Phase delay is computed from the discrete Fourier transform of the left and right speech signals, L(k) and R(k), respectively, as described by BrandStein, Adcock, and Silverman [44]. The cross-spectrum GLR(k) is given by
![]()
where * is the complex conjugate operation. The sample (time
domain) delay at a particular frequency
may
be calculated as
![]()
Note that for wavelengths shorter than the microphone spacing, the phase delay will have an ambiguity corresponding to integer multiples of 2pi. The localization system must either reject short wavelengths, or use phase unwrapping to determine all the potential delays and accumulate these in a histogram. Another problem with using raw phase data is that background noise frequencies with little power will have as much weight in the delay estimation as the frequencies emitted by the desired target. In order to weigh the delay estimate in favor of stronger signals, one may increment the delay histogram by the power of the cross-spectrum |GLR(k)|, rather than one, for each frequency analyzed.
The pairing between frequencies and delay estimates allows rejection of those frequencies known to present noise interference problems. Phase delay calculation works well for reverberant sounds such as voiced consonants and vowels, but not as well for the noisier fricatives. Also, reflected sound tends to shift the phase of the received signal, corrupting the delay calculation. A speech localization system implemented using phase delay techniques is described by BrandStein, Adcock, and Silverman [44].
Since human speech is punctuated with frequent pauses and volume changes, the envelope of sound presents a non-ambiguous feature for the measurement of inter-aural delay. Sound that travels directly from the source arrives at the microphones before its corresponding echoes. As a result, the time difference between sound onsets is highly immune to errors introduced by reverberation effects. Rejection of echoes makes onset detection an extremely attractive technique for sound localization. Huang et al. [50] have successfully implemented a sound localization system using onset delays measured between the outputs of a filter bank for each of three microphones.
Sound localization systems that combine multiple sound cues are described by Martin [46] and Irie [47]. Martin [46] incorporates inter-aural intensity, phase, and envelope differences from the stereo outputs of a 24-channel filter bank and a Head-Related-Transfer-Function model to localize sounds in azimuth and elevation as part of a computer simulation. However, no mention is made of echoes and other real-world noise sources being included in the simulation. Irie [47] incorporates phase delay, envelope delay, and intensity differences from two microphones using a neural network to distinguish sounds as coming from one of three directions: "left," "center," or "right."
Inspired by the success of onset techniques in the literature, and the potential to improve echo immunity over cross-correlation and phase based localization systems, a new type of onset detection and delay estimator was developed. In indoor environments where echoes may occur, Inter-aural Time Delay (ITD) measurements made at signal onsets provide reliable results because echoes have not yet arrived. Since human hearing is most sensitive at sound onsets, it is likely that humans weigh onsets heavily when determining sound direction [103]. It is therefore desirable to investigate a way to increase a system's sensitivity during signal onsets when calculating ITD.
The algorithm described here creates a multi-valued onset signal for each microphone input, in contrast to the Boolean onset events detected by other methods. Boolean onset detection schemes use a volume level threshold (as used by Haung, Ohnishi, and Sugie [50]), maximum value detector (as used by Irie [47]), or other localized peak-sorting heuristic (as demonstrated by Martin [46]) to choose an onset event from an input sample window. Such heuristics may require careful tuning, e.g. threshold adjustment, and may be unreliable. Choosing a Boolean onset event from a sample window does not incorporate the strength of the onset into the delay estimation, and many such techniques do not allow for multiple onsets within the sample window. The following onset signal algorithm, however, was designed so that it would not have to discard such useful information, and would not require any threshold adjustment or other heuristics.
The onset signal is generated as follows. Each microphone signal is recorded by the computer's sound card as a discrete sequence of samples. We will call these two signals l(n) and r(n), where n indicates the sample in discrete time. First, envelope signals ENVL(n) and ENVR(n) are generated by a peak rectifier process to determine the shape of the signal magnitude at each input:
ENVL(n) = max {ß·ENVL(n-1), |l(n)| }
ENVR(n) = max {ß·ENVR(n-1), |r(n)| }
where ß is the envelope decay coefficient (0 < b < 1.0). The value of ß will be discussed later. The envelope signal rises in amplitude quickly to respond to sudden increases in volume, but decays slowly, masking echoes that may follow. It will reach zero only after a period of silence is sustained.
Next, the onset signals ONSETL(n) and ONSETR(n) are created by extracting the rising slopes of the envelopes:
ONSETL(n) = max {0.0, ENVL(n) ( ENVL(n-1)}
ONSETR(n) = max {0.0, ENVR(n) ( ENVR(n-1)}
Lastly, the onset signals may be cross-correlated using Equation (2) to determine the delay between them. Figure 6 illustrates the generation of an onset signal.
Figure 6: Onset Signal Generation
Echoes, which do not follow a direct path to the microphone, arrive later than the original sound and are lower in volume because of the increased distance they must travel. If b is chosen such that the envelope decay rate is slower than the drop in echo volume as a result of longer travel time, then the envelope signal will not respond to echoes. Figure 7 illustrates the direct path (d1) and an indirect path (d2) that a sound may travel to the microphone. The ratio of squared distances d12/d22 determines the percentage drop in echo power due to the longer reflected path. Figure 8 illustrates the drop in comparative echo intensity versus direct sound as a function of time delay after arrival of the direct sound. Note that the longer the direct path (d1) is, the slower the relative echo magnitude drops off.
Figure 7: Direct and Echo Path Lengths
Figure 8: Echo/Direct Sound Volume Ratio Decay Rates
The choice of the value ß is made such that the envelope decay is more gradual than the drop in echo magnitude. For a target distance of up to 6 meters and a sampling rate of 44.1 kHz, a ß value of 0.9995 was found to reliably suppress sounds traveling indirect paths. The envelope decay rate for this value is also illustrated in Figure 8. Note that acoustic-absorption materials used in most indoor spaces further reduce echo volumes and extend the performance range. However, the reinforcement of multiple echoes arriving along multiple paths of the same length has not been compensated for. Such an environment prone to reverberation poses difficulty for any sound localizer, including human beings.
The onset signal generation algorithm is performed on the sound signal before cross-correlation. Figure 9 shows a stereo sampling of the word "testing." The sound was recorded at 44.1 kHz at 16 bits per sample using two electret microphones spaced 30 cm apart. Figure 10 shows the results of the envelope operation, and Figure 11 shows the extracted onset signal.
Figure 9: Stereo Sampling of the Word "Testing"
Figure 10: Envelope Signals from "Testing"
Figure 11: Onset Signals from "Testing"
Figure 12: Cross-Correlation of Onset Signals and Original Signals
Figure 12 shows the results of performing cross-correlation on the left and right onset signals as compared to the results of using the original sampled sound signals. The peak of both cross-correlations occurs at an interaural delay of 11 samples. If we assume the speed of sound to be 344 m/s given the conditions in the room, a sampling period of 1/44100, and a microphone spacing of 0.3 m, Equation (1) may be used to calculate the angle to the speaker as sin(1(344(11/44100)/0.30) = 16.6 degrees.
Note that the onset correlation peak is considerably steeper and narrower than the raw signal cross-correlation peak. The latter also features a ringing pattern due to periodic components in the voice signal. Reverberations that make up much of human speech mean that samples of speech are not statistically independent over time, that is, speech is not an independent, identically distributed (iid) random process. This causes spreading and ringing of the speech sample's autocorrelation function, and likewise the cross-correlation between two microphone signals. The onset signal, which is designed to suppress reverberations and respond more to sudden changes in the speech, like fricative consonants, exhibits less statistical dependency between samples and thus has a correlation plot that is shaped more like an impulse. The steepness of this onset correlation function is useful when fusing acoustic and visual data, as described in Chapter 5, since it provides better separation of targets from each other and the background. Figure 13 shows the frequency-dependent gain of the onset signal generation process when applied to sinusoids. Note the high attentuation of low-frequency signals. High-frequency signals tend to be attenuated less due to the first-derivative operation performed on the envelope signal when generating the onset signal. This allows sounds like fricatives, which include significant high-frequency components, to be passed while low-frequency tones (and 60-Hz noise) are attenuated.
Figure 13: Gain of the Onset Generation Process
The performance of the onset correlation sound localization algorithm was tested both in simulations and in a real videoconferencing room on the NC State campus. The simulations included echoes based on models of sound reflection, and showed performance similar to the actual room. Onset correlation was found to perform slightly better than raw signal correlation in the presence of echoes. The sharper peak response of the onset correlation output also helped it to separate multiple peaks from multiple sound sources.
The seven-by-five meter videoconferencing room selected for acoustics experiments was modeled in simulation to predict the performance of the real system. In the simulation, two microphones were located at one end of the room, with sound being emitted from one of twenty different possible sound origin (speaker) locations. The room geometry and sound origin locations are shown in Figure 14. The coordinate system origin was placed at the center of the room for convenience in calculating echo paths.
Figure 14: Room Layout with Speaker and Microphone Locations
Both the magnitude and direction of sound echoes are important features to simulate when modeling an environment for sound localization. Like light, sound waves bounce off of planar surfaces and can follow multiple paths to the receiver. The strength of the sound traveling along a given path decreases with distance as well as the number of surfaces that reflect it, so only a finite number of reflections needs to be modeled to obtain a reasonable approximation. One way to visualize a single sound reflection is to imagine the wall as a large mirror, which would give the illusion of a mirror-image room next to the first one. The perceived distance and direction of the echo source would correspond to the image of the sound source in the mirrored room. This analogy lends itself to the task of calculating echo paths, by simulating mirrored rooms on all sides of the real room. Additional mirrored rooms may be added surrounding the first ones, flipping the room layout every time a wall is crossed, for as many reflections as are desired in the simulation. Figure 15 shows how reflected sound paths appear to originate from the location of the sound source (location 16) in mirrored versions of the room. For the simulation described here, five layers of "reflection" rooms in every direction were added: five deep on the left, right, front, back, above, and below, putting the original room in the center of a 11 x 11 x 11 neighborhood of simulated rooms. For a single sound location in the center of the room, a total of 1331 simulated sound sources arrive at the microphone, only one of which is the direct-path sound.
Figure 15: Mirrored-Room Method of Echo Imaging
Figure 16: FIR Convolution Operator for Left Microphone, Speaker Location 20, 50% Wall Absorption
The delay of each echo component is determined from the distance to the phantom location. Its intensity is calculated from the product of the reflectance coefficients of each surface along its path and the square of the distance. The echo components and direct path for a particular sound location are modeled together as a transfer function for the room. This results in an FIR convolution operator, as shown in Figure 16, which is applied to the pure sound sample to simulate the sound as it would be recorded by the microphone. This FIR filter is different for every combination of source position and microphone position. Note that the first term in the filter is always equal to one. This represents the direct-path sound, which is followed later by echoes. Echo magnitudes are normalized with respect to the direct-path sound in this simulation. The simulation assumes omnidirectional sound output from the source and omnidirectional sensitivity at the receiver.
The plot in Figure 16 depicts the effects for walls and ceiling materials which absorb 50% of the sound pressure level of waves striking them. Real-world building materials vary in absorption, so nine different absorption values (0.1, 0.2, 0.3, ..., 0.9) were simulated. The words "Testing one, two, three" were recorded from a microphone at 44 kHz, 16 bits/sample and used for the source sound. Figure 17 shows the results of performing the onset correlation algorithm on the resulting sounds for speaker positions 5 through 8, with 50% absorption used for the walls, ceiling, and floor. Figure 18 shows the raw cross-correlation results for the same data. Plots from simulations of all the absorption coefficients and all 20 positions are provided in Appendix A. Significant localization errors did not occur for either localization method until wall absorption was lowered to 0.1, and this only occurred for the furthest row of speaker locations (17 through 20).
Figure 17: Onset Correlation for Time-Domain Echo Simulation, Locations 5-8, 50% Absorption
Figure 18: Raw Cross-Correlation for Speaker Locations 5-8, 50% Absorption
In real life, building materials do not reflect all frequencies uniformly as was assumed in the previously described simulation. The frequency-dependent absorption characteristics of typical ceiling and carpeting materials are shown in Figure 19, as adapted from data given by Everest [104]. To simulate these effects on the echo signals, a frequency-domain simulation was necessary. The original sound was multiplied by a Hanning window and the Fourier transform was taken. The frequency-domain transfer function of the room was constructed by summing up the individual frequency components from each echo path. The reflectance value for each reflecting surface was multiplied by the others along the path on a per-frequency basis, and the phase values were calculated from the time delay. The resulting room transfer function was then multiplied by the Fourier transform of the speech signal, and the inverse transform was calculated so the time-domain onset correlation algorithm could be applied. The results of this simulation for locations 17-20 are shown in Figures 20 and 21. No significant localization errors were detected for the room locations considered in this simulation. Note in Figure 21 how wide the raw cross-correlation peak has become, although the maximum value is still in the correct place.
Figure 19: Sound Absorption of Carpet (Solid) and Ceiling Tile (Dotted) (adapted from [104])
Figure 20: Onset Correlation for Frequency-Domain Simulation, Locations 17-20
Figure 21: Raw Correlation for Frequency Domain Simulation, Locations 17-20
The sampled "Testing one-two-three" sound used in the above simulation was also used for localization experiments in the real videoconferencing room. The speech sample was transferred to cassette tape and played through a speaker positioned at each of the twenty locations shown in Figure 14. The microphone array was aligned with the room coordinates, and the sounds from each location were recorded as stereo digital audio (.wav) files on the computer. The onset correlation algorithm successfully localized all 20 sound locations, while the raw correlation results were incorrect for two of the most distant speaker locations. Correlation results for speaker locations 5-8 are given in Figures 22 and 23; the complete set of plots and data are located in Appendix A.
Figure 22: Onset Correlation for Room Experiment, Locations 5-8
Figure 23: Raw Correlation for Room Experiment, Locations 5-8
Figure 24: Localization Errors for Onset and Raw Correlation
If speakers are not expected to move very quickly, then sound delay histograms may be integrated over longer periods of time to increase stability and reject noise. In videoconferencing and other social situations, multiple speakers in the room may talk back and forth or talk simultaneously. It is therefore important for the sound localization system to correctly detect these sound sources as separate speaker locations. Figure 25 compares the delay detectors for a ten-second recording of two people quickly speaking back and forth. The onset correlation algorithm clearly shows two distinct peaks corresponding to the speaker locations. The correlation of raw inputs, however, blurs together the wide peaks characteristic of this method, and the single resulting peak occurs between the speaker positions.
Figure 25: Performance for Two Speakers
The peaks in the raw cross-correlation output may be sharpened by a technique called spectral whitening, which involves increasing the effect of uncorrelated white noise in the signal. Knapp and Carter [42] describe a method called the phase transform, or PHAT, for weighing frequencies during frequency-domain calculation of the cross-correlation. They weigh frequencies by dividing by the cross-spectral density magnitude before taking the inverse Fourier transform. As explained in [42], this increases the impact of noise and sharpens the correlation peak, but at the expense of requiring a high signal-to-noise ratio. Wasson [49] uses a modified version of PHAT with slightly less whitening, for less sharpening but more noise rejection. Both techniques increase the minimum signal-to-noise ratio required for proper performance, which can restrict their use for processing speech in typical indoor environments. The onset correlation technique described in this chapter was found through experimentation to perform at least as reliably as non-whitened cross-correlation, but it also provides the steep peaks desired for improved separation of locations.
This chapter has presented a technique for sound localization using interaural delay between a pair of microphones. The output of the detector provides sharp peaks capable of distinguishing between multiple sound sources, and performs as well as traditional cross-correlation methods when tested in a realistic indoor environment. This system has been implemented on a consumer-grade MwaveTM multimedia sound card, providing continuous real-time sound localization updates for camera control and sensor fusion.